当前位置: 网站首页 >> 通知公告 >> 正文

通知公告

通知公告

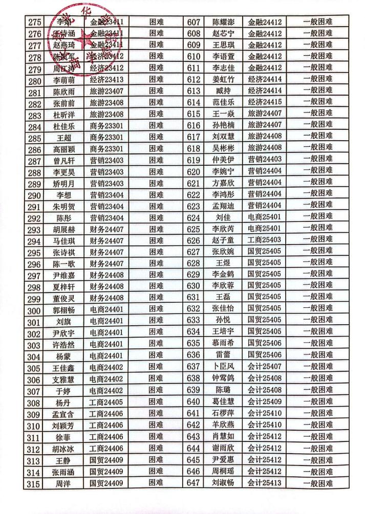
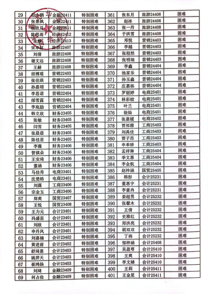
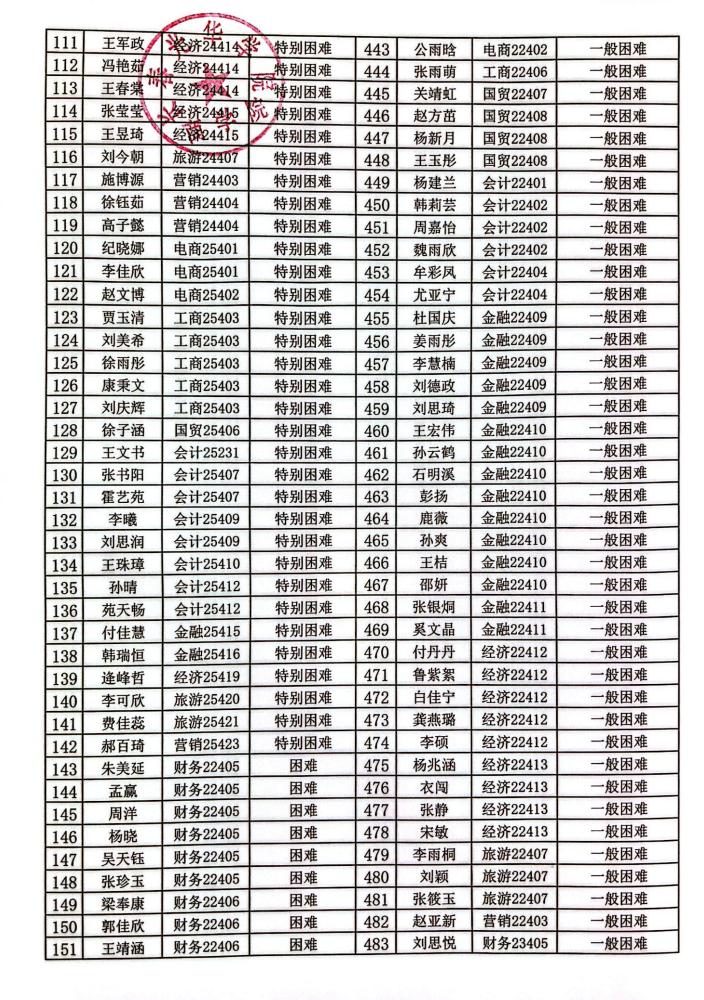
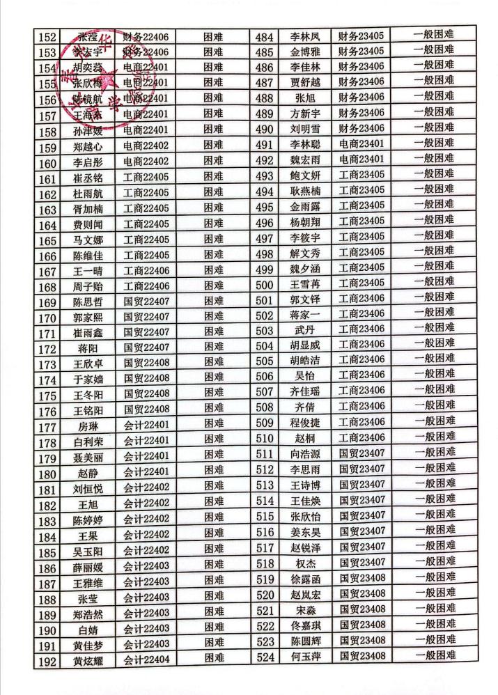
yl6809永利官网集团2025-2026学年家庭经济困难认定公示

按照我校家庭经济困难学生认定工作相关规定,经学生本人书面申请、班级民主评议、学院认定,拟确定以下665名同学为yl6809永利学院2025-2026学年家庭经济困难认定学生。

现将认定名单及档次公示如下,公示时间为3个工作日,即2025年9月28日至9月30日。如有异议,请于9月30日前向学院反映。

监督举报电话:yl6809永利:0431-82608886转81604;

学校学生资助管理部门:0431-81175388