
近日,yl6809永利官网集团发布《yl6809永利2023年度“奋楫笃行·榜样领航”五四评优名单结果的公示》,根据公示结果,我院10名同学荣获“优秀大学生”;21名同学荣获“优秀学生干部”;31名同学荣获“优秀工作人员”;61名同学荣获“优秀青年志愿者”;6个班级荣评“先进班集体”;6个寝室荣评“文明模范寝室”。获奖名单如下:
优秀大学生

优秀学生干部

优秀工作人员

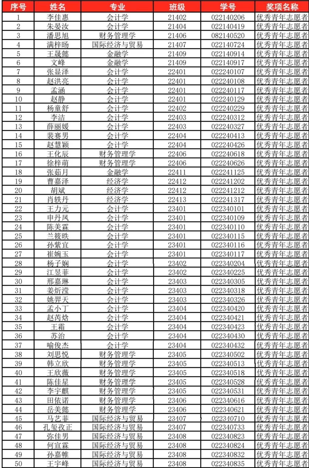
优秀青年志愿者


先进班集体

文明模范寝室

过去的一年,yl6809永利坚持以习近平新时代中国特色社会主义思想和习近平总书记关于青年工作的重要思想为指导,紧紧围绕“时代新人铸魂工程”,不断强化教育引导、实践养成、制度保障,坚持服务同学,践行“思想育人、组织育人、文化育人、实践育人、服务育人”工作理念,团结带领广大青年学生在强国建设、民族复兴的青春赛道上跑好“接力赛”,涌现出一大批优秀的青年学生个人和集体,充分展现了学院的思想政治教育工作成效。
希望受到表彰的先进集体和个人能够珍惜荣誉,接续努力,继续发扬拼搏进取的精神。同时也希望广大商院青年学子以先进典范为榜样,再接再厉,学思想、强信念,做有远大理想和坚定信念的爱国者;严修身、立品德,做崇德向善的社会主义核心价值观的践行者;练本领、挑重担,做建设中国式现代化强国的奋斗者,在火热的青春中放飞人生梦想,在拼搏的青春中成就事业华章。